2023-03-26
近日,由第49届、第50届国际数学奥林匹克满分金牌得主,北京大学数学科学学院研究员韦东奕出的一道数学题,获得了数学爱好者的广泛关注,来自国内外高校、中学近百位读者提交了解答。雷竞技官网app初二年级的王羿骁同学也积极参与,提交了自己的解答。
题目

出题人思路
题目主要考察幂级数和取对数的技巧。通过对不等式取对数,再用对数函数的Taylor级数,可以写成完全平方式求和的形式。
注意这个不等式不能直接由n=2的情形推出。
据韦东奕介绍,本题的解答线索只有一个。因此,他在近百份答案中挑选出三份解答相似度高、均可以作为标准答案来使用的“较好的解答举例”。雷竞技官网app王羿骁同学的解答成功入选,并得到了韦东奕的高度认可,他说:“特别是其中有一位初中二年级的同学,给出了简洁、完备的答案,令人欣喜!”
据悉,由韦东奕选出的三份优秀解答中,有两份分别来自国内某大学和海外某大学,王羿骁同学的解答为唯一一份来自中学学生所作答的。
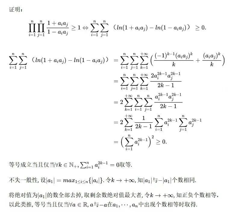
王羿骁同学解答


学生作答心得
上周,我们的竞赛教练阮中楠老师转发了北京大学一道不等式题目的推文,阮老师鼓励我们积极投稿。我平时对竞赛问题兴趣浓厚,尤其是代数部分。最初看到是“韦神”出题时,我原本以为问题会超困难,一定是毫无头绪,但在简单的恒等变换后形成了较为显然的结论。中午回家时我将过程详细写了出来,我对可以做出韦东奕老师的题感到兴奋。
在一周后看到答案时,我有些不敢相信韦东奕老师能选中我的答案。感谢“韦神”的肯定与鼓励;感谢学校对学生独立思考能力的培养,给予我们良好的学习环境;感谢所有老师的帮助!
未来的路仍很漫长,我还有很多不足,我会继续努力,勇攀高峰!
教练评价
王羿骁同学观察到对题目的连乘式取对数后用Taylor级数展开,可以消去级数的偶次项,并通过交换求和顺序将奇次项配成完全平方和,从而证明其非负,最后对于等号成立条件的讨论简洁而严谨,展现了他敏锐的代数直观和熟练的代数技巧。
——阮中楠老师
扫一扫分享本页